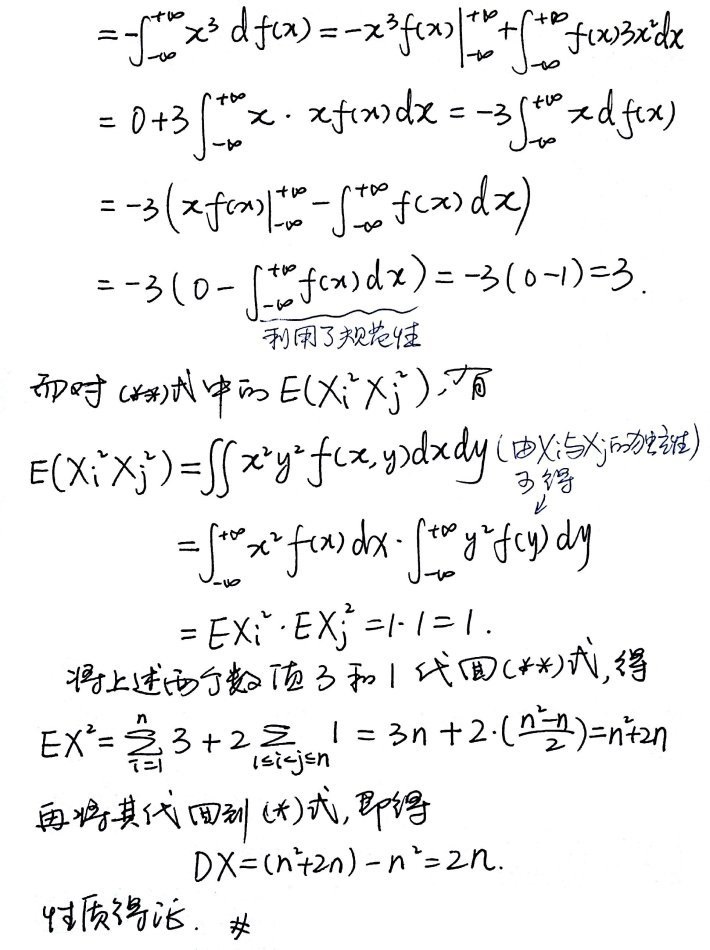
证明 Reference 转载自 自由度为n的卡方分布χ²(n)的期望等于n、方差等于2n的证明 - 征丶舤 - CSDN博客 Home 回到首页 Next Jupyter Notebook 安装与配置 Show Comments 加载评论 CATALOG FEATURED TAGS Apple 一览表 Python NumPy Linear Algebra 配置 Conda Linux Ubuntu I/O FRIENDS Github